STEP (Sixth Term Examination Paper)是大学申请者数学能力的笔试,主要用来申请剑桥大学、华威大学和帝国理工的相关专业,也是申请其他学校的加分项。
一般来说,剑桥大学的数学相关专业会要求考生同时参加STEP 2和STEP 3考试,并且成绩都要达到等级1以上。
STEP3考试一共包括12道题,每道题20分,满分120分,学生只需选择其中的6道题作答,考试时长都是3小时,试卷分为3个部分:Pure部分包含8道纯数题,Mechanics部分包含2道力学题,Probability & Statistics部分包含2道概率/统计题。
STEP 3考试内容基于A-level数学和A-level进阶数学的教学大纲,难度比STEP 2高一点。考试中不能使用计算器和公式表。
STEP 3在包含STEP 2所有内容的基础上Section A Pure部分增加了further complex numbers,further matrices,further algebra and functions,further calculus,further vectors,polar coordinates,hyperbolic functions和differential equations等内容。Section B Mechanics部分增加further collisions,centre of mass,circular motion,differential equations等内容。Section C probability & statistics部分增加independent random variables和algebra of expectation内容,具体内容可以在考纲中看到。
科学备考,STEP考试历年真题资料包为大家准备好了!需要的同学请按照下方提示领取!
*仅展示部分,全套福利请扫码领取!

下面是2023年STEP考试重要时间节点,报名时间已经截止,STEP3考试时间是6月21号。

STEP3的分数分为五个等级:S 1 2 3 U,申请剑桥大学至少需要达到等级1。


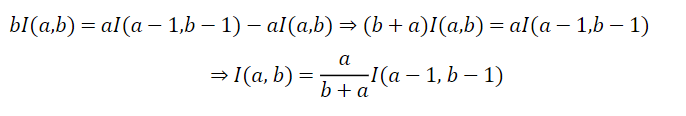
这道题考察了integration by parts和prove by induction,这道题不难,但是计算量比较大。
第一问首先写出u和v’, ,那么 ,所以:

因为题目里有 ,我们可以考虑 ,所以

那么:


第二问因为n是一个非负整数,那么当n=0时,

当m是奇数的时候, 等于-1;当m是偶数的时候等于1,所以上面的式子我们可以写成 。再看等式右边:

LHS=RHS,也就是说当n=0时等式成立。假设n=k时,

当n=k+1时,


最后我们就可以写结论:by the principle of mathematical induction, the required result is true.


距离2023年STEP3考试不到1个月,STEP考试难度大,题型灵活,尤其STEP3难度比STEP2高不少,很多小伙伴在备考时会感到很棘手,这种情况下,苦苦干耗不如寻找指导老师的帮助!!
完善的教学体系

完善贴心的服务

犀牛国际教育隆重推出 STEP 考试系列课程——牛剑笔试冲刺班!
权威的老师为每一位同学提供最专业的辅导!牛剑笔试冲刺班提供『线上和线下』两种授课模式,学生可自由选择一对一教学或班课教学,查看海报了解课程详情!

牛剑笔面试辅导
添加微信小助手在线咨询

TEL:13127793032(同微) |