STEP报名与考试关键时间点
-
报名开放日:2024年3月1日
-
报名截止日:2024年5月4日
-
STEP 2考试日:2024年6月5日
-
STEP 3考试日:2024年6月24日
-
成绩查询日:2024年8月15日
-
成绩查询截止日:2024年8月21日

具体要参加STEP2还是STEP3考试或者都要参加取决于学校要求,相关的信息可以在大学的官网查到或者发邮件问大学的招生办。比如剑桥大学的数学专业需要A*A*A以及STEP2和STEP3都要达到等级1或者A*A*A*和STEP2或者STEP3达到等级1。华威大学的数学专业则需要A*A*A和STEP2或者STEP3达到等级2。
STEP考试由STEP2和STEP3组成,STEP 1从2021年起已取消。STEP2考试一共包括12道题,每道题20分,满分120分,学生只需选择其中的任意6道题作答,考试时长都是3小时。考生尝试的所有题目都会被批改,最终的分数取决于得分最高的6道题目。
STEP 2考试内容包括A-level数学和AS进阶数学,试卷分为3个部分:第一部分包含8道纯数题、第二个部分2道力学题、第三个部分2道概率/统计题。
STEP2的分数分为五个等级:S 1 2 3 U,申请剑桥大学至少需要达到等级1,申请华威大学至少需要达到等级2。

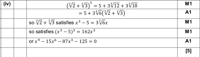
下面这道题出自2023年的真题:

↓答案解析↓
这道题的解题方法有很多种,但是对代数和计算的要求还是较高的。这道题的背景是minimal polynomial in fields。对于第(i)问,有各种各样不同的方法,其中一些方法确定了为了满足所需条件,具有整数系数的四次幂的四个根必须是什么。

在第(ii)问中,许多考生能够确定一个有效的方法来解决这个问题,尽管一些代数错误意味着有些人没有达到正确的最终多项式。和第(i)问一样,采取了若干不同的办法。

在第(iii)问中,大多数考生都认识到,对图进行平移将提供具有正确根的三次方程。然后,许多人能够将类似的方法应用于问题的前面部分,以获得所需的整数系数多项式。

许多考生没有尝试试题的最后一部分,但那些尝试了的人通常能够成功地适应前一部分的方法,取得很好的进展。

你答对了吗?
官方给出的真题资源我们已经帮大家整理好,【STEP备考资料包】,涵盖历年真题、最新大纲、推荐阅读书pdf,答题卡等资源,大家按照提示领取吧!
涵盖2023-1998历年STEP真题、评分标准、考试报告等
涵盖2024考试大纲

答案解析及评分标准牛津专业模拟面试视频
答案解析及评分标准
涵盖示例答案解析、评分标准、答题卡

官方推荐备考阅读书目电子版

|