2024年AIME数学竞赛最新真题+解析答案,免费预约领取下载! |
时间:2024-02-06 09:08:10 作者:网络 来源:网络 |
2024年AIMEⅠ于今天下午落下帷幕,赛后我们将第一时间出具AIMEⅠ竞赛真题解析与考情分析,各位同学可以提前扫描文末二维码联系Sharon老师进行预约!(微信:X-NEW999)
2024年AIMEⅠ数学竞赛真题+解析内容将于静默期结束后统一发放给大家,需要今年最新真题和解析的同学们可以提前扫码咨询Sharon老师进行【预约】啦!

既然2024年AIMEⅠ竞赛已经结束,接下来一周后就是AIMEⅡ考试了,那么今年AIME数学竞赛究竟难不难❓AIME数学竞赛分数线是多少❓跟着Sharon老师一起来看看去年的AIME竞赛考情吧:
▲AIMEⅠ难度解析
▲AIMEⅠ难度解析
由于每年AMC10/12及AIME考题的难度不同,晋级到USA(J)MO的分数线也就不同。通常晋级分数线和考试难度成反比关系:难度越高,晋级分数线越低。反之亦然!
以事实来看,2023年AIME考试难度整体上升,2023年AMC10/12亦是如此。可预测:2024年USA(J)MO的晋级分数线会低于2023年晋级分数线。
真题及解析(1-5题)
真题及解析(6-10题)
真题及解析(11-15题)
第11题



第12题



第13题


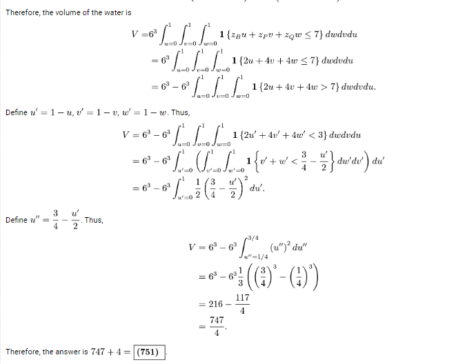
第14题



第15题

 △以上答案解析来自AoPS Online(供参考)
更多解法可复制链接查看:
https://artofproblemsolving.com/wiki/index.php/2023_AIME_II_Problems/Problem_15

我们专注于提供AMC国际竞赛的课程,相关AMC竞赛课程由经验丰富的竞赛老师授课,帮助学生系统地学习竞赛必考知识点和相关概念。同时,在学习过程中我们也不断拓展内容,增加学生的知识储备,为他们提供一站式服务。
课程类型:一对一辅导/4-8人小班课
授课模式:线上/线下同步授课,有课程回放录像可供复习
我们在上海、深圳,北京、苏州、南京、深圳、无锡、青岛、杭州、广州、合肥、武汉、成都均开设的有线下校区,其他城市可以参加AMC线上网课,享受总部师资~
更多AMC数学竞赛课程信息
添加Sharon老师微信咨询

WeChat:X-NEW999 |
关键字:AIME,AIME竞赛,AIME数学竞赛,AIME数学邀请赛,AIME邀请赛,AIME培训,AIME辅导,AIME真题,
|