2024年BPhO物理竞赛备考,这些备考公式少不了!附上海BPhO竞赛培训班课推荐

时间:2024-09-05 11:28:53  作者:网络 来源:网络

BPhO竞赛备考培训辅导班课正在火热招生中,线上线下同步,名师教学,带领你一举夺冠最高奖!

详情咨询+V:xnewhu

 

 

01
BPhO物理竞赛公式

 

BPhO物理竞赛公式可以帮助同学们更快速解答BPhO物理竞赛题目,这里给大家总结了一些BPhO竞赛常用公式,供同学们参考。

 

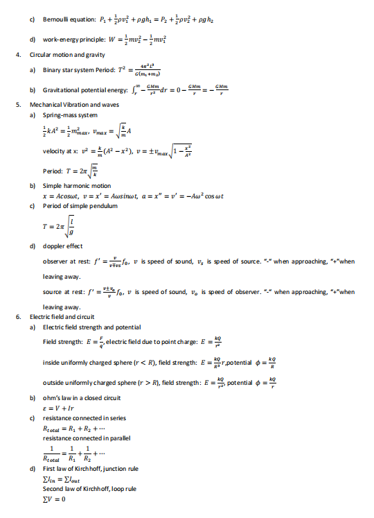
BPhO竞赛力学常用公式

 

 

BPhO竞赛电磁学常用公式

 

 

BPhO竞赛热、光、核常用公式

 

 

BPhO竞赛常见数学常用公式

 

 

这里还给大家准备了BPhO竞赛公式PDF超全版,需要同学们可添加微信号 xnewhu 或扫描二维码领取。

 

 
 
 
 

 

 

BPHO/物理碗公式领取

长按扫码  

回复BPHO/物理碗公式在线咨询

xnewhu(微)

 (添加微信了解更多BPhO竞赛公式真题)

 

02
BPhO竞赛2024考试时间

 

2024年BPhO竞赛考试时间:11月(2023年是11月7日,2024年暂未公布)

BPhO竞赛属于系列赛事,总共包含13种竞赛,分别针对针对英国Y10-Y13(国内9-12年级)的学生。

 

 

03
BPhO竞赛备考建议

 

【夯实基础知识】

BPhO考察的内容广泛,需要你对高中物理的各个方面都有深入的理解。因此,确保基础知识扎实是非常重要的。如果发现自己在某个领域有薄弱点,要及时查漏补缺,强化学习。

 

【提高英语能力】

BPhO的考试语言是英语,因此需要具备较高的英语阅读和表达能力。阅读英文物理教材和文献,积累专业词汇,提高阅读速度和理解能力。

 

【注重解题技巧】

BPhO不仅考察物理知识,还考察解题技巧和思维能力。学习并掌握一些有效的解题技巧,如排除法、假设法、反证法等,可以帮助更快地找到解题思路,提高解题效率。

 

04
BPhO物理竞赛培训

 

BPhO物理竞赛培训课程采用体系化教研的专业教材,将竞赛知识点与国际课程知识点重新整合,以2个年级的维度划分班型,针对8-11年级学生的BPhO物理竞赛培训各有侧重点。

 

  • 零基础:初步刚接触物理学习或接近0基础,适合物理竞赛直通车课程,包含国际版学科物理+物理竞赛进阶

  • 9-10年级:目标明年3月的BPHO中高级+物理碗D1

  • 10-11年级:目标明年4的物理碗+明年11月的BPHO正赛R1

 

 

课程名称

课时

班型

物理竞赛直通车2班

110

3-8人班

物理竞赛直通车4班

110

3-8人班

物理竞赛直通车3班

110

3-8人班

物理竞赛直通车5班

110

3-8人班

BPHO正赛R1冲刺2班

20

3-8人班

物理碗全程班-2023秋

60

3-8人班

物理碗全程2班

60

3-8人班

物理碗全程3班

60

3-8人班

BPHO正赛R1冲刺1班

30

3-8人班

物理碗D2综合冲刺2班

40
(非标准)

3-8人班

BPHO中高级+物理碗综合班

60

3-8人班

 

BPHO/物理碗课程详情

长按扫码  

回复BPHO/物理碗课程在线咨询

xnewhu(微)

关键字:BPhO物理竞赛,BPhO考试,BPhO培训班,BPhO辅导机构,

推荐资讯
犀牛国际 版权所有 沪ICP备2021004381号-1