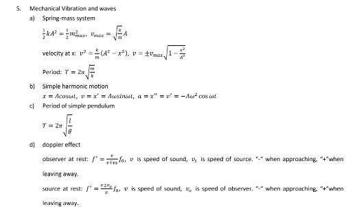
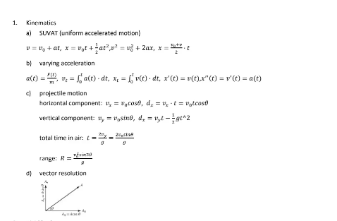
✨力学:包括运动学、动力学、能量、动量、角动量、碰撞等基本概念和原理。
✨电磁学:涉及电场、磁场、电路、电磁感应、电磁波等内容。
✨热学:包括热力学定律、温度、热量、内能、热传导、热辐射等知识点。
✨光学:涵盖光的传播、反射、折射、干涉、衍射、偏振等现象及其解释。
✨原子物理:研究原子结构、原子核、粒子物理、量子现象等微观世界的物理规律。
✨相对论:包括狭义相对论和广义相对论的基本概念和原理,如时间膨胀、长度收缩、质能方程等。
✨量子力学:探索微观粒子的波粒二象性、不确定性原理、量子态、量子纠缠等现代物理的前沿领域。

>>>>BPHO物理竞赛历年分数线