要想备考 AP ,最权威的资料无非是College Board针对每一个科目制定的Course and Exam Description (CED,课程和考试描述),也就是我们俗称的“大纲”。
虽然CED很全面,高屋建瓴地描述了每个学科的大框架大思想、核心知识、实践和技能等,但同学们看大纲往往会觉得比较笼统、抽象,不够具体,尤其是知识点细节度不够,更无法对应到题目。
其实在老师看来CED里对同学备考最有用的,是Learning Objectives学习目标,因为这些LO会直接转化成题目。
大家可以留意在大纲结尾Sample Exam Questions的Scoring Guidelines里,每个小题都会标注本题包含的LO,也就是说题目会直接考察学生是否达到了这些学习目标。
AP物理C力学一共包含156个学习目标,今天,咱们就进入Unit 2 的学习世界啦!让我们一起来学习一下Part 1中其中9个吧~
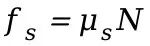
👉10. [INT-1.E.a] Describe the relationship between frictional force and the normal force for static friction and for kinetic friction.
✨解读:描述摩擦力与支持力的关系。最大静摩擦力和支持力成正比,比例系数为静摩擦系数。动摩擦力和支持力成正比,比例系数为动摩擦系数。可以定性理解为“压得越紧、摩擦越大”。
例10: 物体靠在竖直墙面上,给物体施加一个垂直于墙面的压力,为什么压力要大于等于一个最小值,物体才能不往下滑?
解:可以分三步考虑:
(1)竖直方向上需要向上的静摩擦力平衡向下的重力,
(2)静摩擦力的上限和支持力成正比,
(3)而垂直于墙面的支持力和施加的压力平衡,
所以压力要足够大,才能保证最大静摩擦力足够大,才能保证可以产生足够大的静摩擦力去平衡重力。
👉11. [INT-1.E.b] Explain when to use the static frictional relationship versus the kinetic frictional relationship in different physical situations (e.g., object sliding on surface or object not slipping on incline).
✨解读:什么时候用静摩擦力、什么时候用动摩擦力,要看相互接触的两个物体是否有“相对运动”,不是看是否相对地面运动。
例11: 如图所示,物体A放在物体B上,用外力拉物体B,使两者在光滑水平面作为一个整体加速运动,即两者有相同的速度和加速度运动。则物体A受到哪种摩擦力?
解:因为A和B相对静止,所以只可能是静摩擦力。

👉 12.[INT-1.F] Describe the direction of frictional forces (static or kinetic) acting on an object under various physical situations.
✨解读:判断摩擦力的方向,要看接触面上的相对运动(或运动趋势),对于动摩擦力比较容易,而静摩擦力如果不好想的话,可以根据牛顿第二定律,合力的方向应当与加速度方向相同。
例12:(1)例11中的物体A所受静摩擦力的方向如何?
(2)物体静止在斜面上,沿斜面向上施加一个逐渐增大的拉力,问摩擦力的方向怎么变化?
解:(1)A在竖直方向上受支持力和重力,两者平衡;在水平方向上只受静摩擦力,所以根据牛顿第二定律,静摩擦力的方向应该和加速度方向相同。所以摩擦力并不一定与(相对地面)的运动方向相反,只看与接触物体的相对运动。
(2)如图所示,拉力比较小时,静摩擦力沿斜面向上,加上拉力一起与重力的分量平衡;拉力大于重力分量时,静摩擦力沿斜面向下,与重力分量一起平衡拉力。拉力更大时,物体向上运动,受到沿斜面向下的动摩擦力。

👉13. [INT-1.G] Derive expressions that relate mass, forces, or angles of inclines for various slipping conditions with friction.
✨解读:要推导滑动条件,即要考虑“临界平衡状态”,此时物体还相对接触面静止,但静摩擦力已经达到了最大值,即 ,结合牛顿第二定律即可推导表达式。
例13:(1)推导使斜面上的物块不下滑的最大倾角。
(2)沿斜面向上施加一个拉力,推导使物块不被拉动的最大拉力。
解:(1)平行和垂直斜面方向上分别列牛顿第二定律,结合最大静摩擦力表达式,解方程组

即可得
(2)平行和垂直斜面方向上分别列牛顿第二定律,结合最大静摩擦力表达式,解方程组

即可得
👉 14. [INT-1.G] Calculate the value for the static frictional force for an object in various dynamic situations (e.g., an object at rest on truck bed, an object at rest on incline, or an object pinned to a horizontal surface).
✨解读:计算静摩擦力的大小,要注意通常不一定是最大静摩擦力,所以应该用牛顿第二定律的表达式,结合其它力和加速度求解。
解:题目中的 都是多余信息,只需要对A用牛顿第二定律即可:

当然也可以再验证一下这个静摩擦力是否超过上限,最大静摩擦力为 ,所以此时静摩擦力没有超过上限。
👉 15. [INT-3.A.a] Describe the forces of interaction between two objects (Newton’s third law).
✨解读:描述两个物体之间的相互作用力,即牛顿第三定律:作用力和反作用力大小相等、方向相反。
例15:静止在桌面上的物体所受的支持力和重力是不是牛顿第三定律中的作用力和反作用力?
解:不是。虽然支持力和重力也大小相等、方向相反,使物体平衡,但作用力和反作用力应该作用在两个不同物体上、且属于同种力。
👉 16. [INT-3.A.b] Describe pairs of forces that occur in a physical system due to Newton’s third law.
✨解读:要注意第三定律描述的一对力是作用在两个不同物体上、且属于同一类型的。找作用力-反作用力时要交换施力-受力物体。
例16: 描述例30中的支持力和重力对应的反作用力。
解:地球给物体向下的引力(重力),反作用力是物体给地球向上的引力。桌面给物体向上的支持力,反作用力是物体给桌面向下的压力,都属于normal (contact) force法向(接触)力。
👉 17. [INT-3.A.c] Describe the forces that occur between two (or more) objects accelerating together (e.g., in contact or connected by light strings, springs, or cords).
✨解读:在一起加速运动的物体系统中,比较容易忽略其中一个normal force和static friction,可以养成习惯,每画一个作用力就画一个反作用力。
例17: 描述例11中的物体A和物体B之间的相互作用力。
解:B给A向上的支持力,反作用力为A给B向下的压力;B给A向右的静摩擦力(参考例12),反作用力为A给B向左的静摩擦力。

👉 18. [INT-3.B] Derive expressions that relate the acceleration of multiple connected masses moving in a system (e.g., Atwood machines) connected by light strings with tensions (and pulleys).
✨解读:分析相连物体的加速度时,既可以用系统法,即把多个物体当作一个整体,合外力等于系统总质量乘以加速度,比如例11的情景;也可以对每个物体单独使用牛顿第二定律,得到多个方程,联立求解。不过当系统中包含绕过滑轮的轻绳时,“系统法”会有特别的含义,参见下面这个例子。
例18:在如图所示情景中,假设桌面无摩擦,求两个物体的加速度。

解:两个相连物体的加速度大小相同,设为a。对m,以向右为正,列牛顿第二定律: ;对M,以向下为正,列牛顿第二定律: 。联合两个方程可解得 。
这好像是用了系统法,但注意并不是严格意义上的矢量形式的系统牛顿第二定律,因为m受到向右的拉力,加速度向右;而M受到竖直方向的拉力和重力,加速度向下。在实际空间中,两个物体的加速度矢量并不相同、向右的拉力和向上的拉力也并不能抵消!所以我们需要假想一个广义的坐标轴,即沿着绳子弯曲的坐标轴,这样M向下的重力、向上拉力m和向右的拉力都在沿绳方向的这个一维坐标轴上了,向上的拉力和绳子运动方向相反取负、而向右的拉力和绳子运动方向相同取正,这样两个拉力就是能互相抵消的系统内力了。所以系统所受外力只有M的重力Mg,再除以总质量即是加速度 。如果桌面有动摩擦力,也只是在这个广义坐标轴上多了一个沿负方向的大小为 的外力,所以合外力是 ,加速度会变成 。
以上的18个学习目标,都不涉及微积分,在物理C力学中属于比较简单的知识点。但牛顿运动定律是经典力学的基石,具有重要意义;考纲也明确指出它是在 AP 考试中平均比重最大的一个单元(17-23%),所以同学们一定要把基本概念和基本模型掌握好。我们下期就来看看牛顿运动定律在流体阻力和圆周运动这两个问题中是如何应用的,下期再见~
课程目的:针对重难点科目进行预习和同步学习,补缺补差,难度层层递进,帮助学生聚义反三。
知识点全覆盖:精选主要考核知识点/知识模块,配套高频考点强化联系,易错题汇总分析,解决练习不足,缺少技巧性答题的问题。
教学方式:精研教材与历年真题库,精准捕捉学生弱项,击破重点难点。
| AP课程培训详情 |
| 学科 |
适合学员 |
| 微积分AB |
打算参加AP微积分考试的学生 |
| 微积分BC |
打算参加AP微积分考试的学生 |
| 统计学 |
打算参加AP统计学考试的学生 |
| 物理1 |
打算参加AP物理1考试的学生 |
| 物理2 |
打算参加AP物理2考试的学生 |
| 电磁学 |
打算参加AP电磁学考试的学生 |
| 力学 |
打算参加AP力学考试的学生 |
| 化学 |
打算参加AP化学考试的学生 |
| 生物 |
打算参加AP生物考试的学生 |
| 美国历史 |
打算参加AP美国历史考试的学生 |
| 世界历史 |
打算参加AP世界历史考试的学生 |
| 宏观经济学 |
打算参加AP宏观经济学考试的学生 |
| 微观经济学 |
打算参加AP微观经济学考试的学生 |
| 心理学 |
打算参年AP心理学考试的学生 |
| 计算机 |
打算参年AP计算机考试的学生 |
|