AMC分为AMC8、AMC10和AMC12三个等级,AMC试题研发、命制到统一阅卷等工作由AMC主试委员会全权负责。该委员会由以数理闻名的内布拉斯加大学林肯分校数学系的专家和来自如麻省理工学院(MIT)、哈佛大学(Harvard)、普林斯顿大学(Princeton)等名校的专家组成。
AIME是美国数学邀请赛,AMC10的前2.5%和AMC12的前5%可以晋级AIME数学竞赛.
AMC和AIME都是数学竞赛选拔性的考试,是N级别考试中,知名度比较高的考试之一。
既然是选拔性的考试,就要一层层选拔,越到上层,难度越大。同样在AMC中获得了130+的分数,在AIME中可能就会产生8分和13分的区别;在AIME中的这种差异,如果都去参加USAMO考试,可能差异性就会变得更大。
所有选拔性的考试,考察的都是一种习惯。这种考试时间会非常紧张,而时间非常紧张的情况下,是靠你日积月累的习惯来完成考试,而非考前的临阵磨枪。所以说,要拿出至少半年的时间去夯实基础、熟悉和熟练竞赛的类型、直至最后完全掌握。
从75分钟25题的选择题,变成3小时15题的填空题,这意味着选择题的答题技巧已经不适合了,而是要硬碰硬地去解决每一道题目。
在相对比较充足的时间内,理解题意,联系对应的知识点和技巧,通过一步一步地推理和计算,得到正确的结果。这非常考验数学的基本功,也考验心态和计算的稳定性。
AIME的大部分考点都是与AMC12一致的,此外在几何、数论、组合模块各多了少量的知识点,这些知识点大多比较复杂,一般出现在AIME数学竞赛的后5题中,掌握这些知识点是冲击高分的关键。
前10题中,多数还是AMC10和12的核心知识点,因此巩固强化AMC部分的内容也是很重要的。
AIME题目的最大特点就是灵活性和综合性。因此需要考生有很强的思维发散性,不要禁锢于某些刻板的公式和套路,而是真正去理解、思考、联想,找到隐藏在众多表面线索背后的本质。
AIME题目的灵活性表现在:题目往往都有很多的切入点,但真正适合的方法可能只有少数。例如代数部分AIME虽然没有新增的知识点,但是非常重视代数变形和计算的技巧,这些技巧都非常灵活,不是死记硬背就可以套用的公式
AIME题目的综合性表现在:很多题目都可能会涉及多个模块的知识点,以及不同的解题技巧。例如一道三角函数的题目,可能会牵扯复数和多项式的技巧以及几何的性质

总体来说,对于同一个知识点来说,AMC的考察强调函数变换,更注重多个知识点的联合应用,广度有,而深度不深,而AIME的考察广度和深度并重,有些题目要探究到数学原理的本质。在AMC备考完成之后,在准备AIME之前,需要在深度上进行进一步的备考准备。
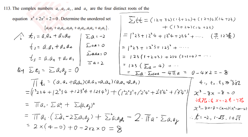
以下这道题是对AIME数学竞赛中对韦达定理(牛顿恒等式)的一道题,可以算是AIME中这个知识点考察最难的一道题。整体来说计算复杂。

我们可以看到,对于同一个知识点来说,AMC的考察强调函数变换,更注重多个知识点的联合应用,广度有,而深度不深,而AIME数学竞赛的考察广度和深度并重,有些题目要探究到数学原理的本质。
长按扫码
在线咨询

TEL:13162678213(同微)
|