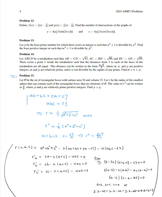
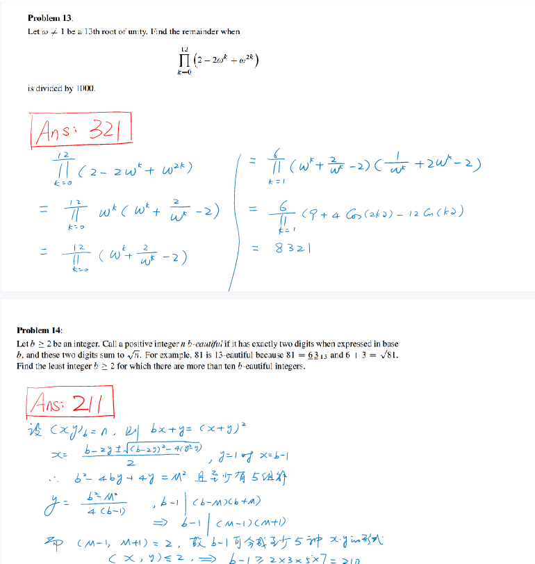
试卷构成:15道填空题,答案为000-999之间的整数
计分方式:满分15分,答对1题得1分,答错、未答不得分
竞赛考点:AIME考察范围仍然是算术、代数、计数、几何、数论和概率,与AMC10和AMC12相同,但允许使用微积分方法解题。
参与方式:AMC10/12 分数达到晋级线后即可获组委会邀请参与。
AIME是填空题,填空题比AMC竞赛的选择题的难度更大,没有一点点参考信息,除此之外AIME的图形、计算更复杂,串联的知识也多,对做题速度要求高等~
AIMEII竞赛与AMC相比,在广度和深度上AIME都是AMC的加强版,如果不去强化复习,大体上来说,AIME和AMC的分数可能会呈现如下的对应关系:
AIMEII竞赛的试题主要融合了中学数学的综合知识,并且需要运用多种解题技巧。通过对最近两年AIMEII竞赛I卷的考点分析,题目大致可以分为两类:
第一类:以代数和几何为主线,涉及复杂的计算。这类题目中,不少需要借助数论或数字分析的方法才能得出最终答案。
第二类:纯粹的数论和组合试题。这类题目通常包含组合数的计算,以及各种公式和数论分析技巧。
数论题目不仅数量众多,而且难度较高。其考察范围已经不再局限于传统的线性、二次和负一次方程,而是进一步扩展到了较为冷门的三次不定方程,并且深入应用了主元法等高级解题技巧。
近年来,AIMEII竞赛明显加强了对复数单位根的深度考察,显示出对这一数学概念的更高重视程度。
几何部分中,AIME数学竞赛首次引入了欧拉定理的考察,这一变化标志着考试内容的新拓展与深化。
为了帮助各位考生更高效的备考AIMEII,下面给大家准备了AIMEII真题,需要的可以添加小助手录取















总结:AIMEII竞赛II卷的难度通常会稍低一些,题目也会相对简单。如果你选考AIME II还有一个无法替代的优势,就是可以拿到AIME竞赛I卷的真题来做一次考前最仿真的模考。如果你希望冲击USA/JMO的晋级资格,那么选择AIMEII卷可能会更有利。
*注意:AIMEII竞赛不保留晋级机会,如果想要明年再参加,必须重新考AMC10或AMC12,重新晋级。请务必把握好参赛机会!尽力在AIME中考出高分!
犀牛AIME竞赛培训课程,由斯坦福教师指导带队,结合竞赛重难点,强化突破,帮助学生高效解决自身欠缺知识点,全方位提升。

AIME的备考周期短、难度高,犀牛国际教育提供专门的冲刺班,以帮助学生在短期内提升成绩。典型的AIME冲刺班包括15节课,采用线上或线下同步授课,部分课程提供双语教学或纯英文授课,适应不同学生需求。课程内容一般涵盖难题解析和模拟训练,帮助学生在考前提高应试技巧和解题速度。
👉课程类型:6-12人班/一对一授课模式
👉授课模式:线上/线下同步授课(国内外皆可授课)
👉授课语言:中英双语教学/纯英文授课
🙋师资介绍



AIME竞赛课程是一直拥有超强实力背景的师资团队,包括斯坦福大学、纽约大学、北京大学等众多海内外一流院校的教师,多年的一线教学积累了丰富的教学经验,真正做到因材施教,帮助学生快速掌握竞赛考点,助力学员高效冲奖上分!
犀牛国际总部位于上海,在浦东/黄浦/徐汇均有校区。除此之外,还在北京、广州、深圳、苏州、杭州、南京、武汉、合肥、青岛、无锡、成都、郑州、香港、宁波、重庆、天津、大连等多个城市开设线下校区,全国各地学员都可上课。


🔻🔻🔻
课程咨询|资料领取|竞赛规划
微信号:xnewhu |