1.韦达定理 (Vieta's Formula)
2.算数平均-几何平均不等式 (Arithmetic Mean-Geometric Mean
Inequality)
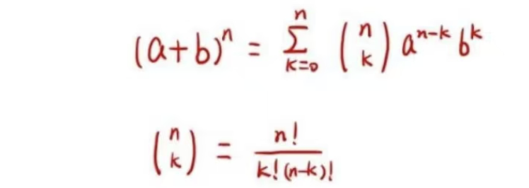
3.二项式定理 (Binomial Theorem)
4.合分比定理(Partition Ratio Theorem)
5.余数定理(Polynomial Remainder Theorem)
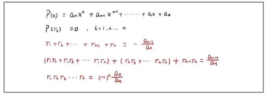
1韦达定理(Vieta's Formula)
学习过一元二次方程的同学一定都听说过这个定理,可以得出两个根之间和的关系,积的关系。
事实上不仅仅是二次方程,韦达定理还可以拓展到更高阶次,描述一元 n 次多项式根的关系。着实是一个应用面非常广的定理。

遇到多项式的问题,同时已知根的关系,不妨想想可不可以用韦达定理来求解。对于高次方程,韦达定理真的是一个解题的捷径。

这个不等式是对课内所学平方和不等式的一个拓展。同时这个不等式还可以和算数平均,几何平均这两个统计学概念一起进行记忆

AMC10 的题目一题多解是很普遍的,有时候从一个不同的方向去理解题目,也许是事半功倍。比如下面这道理,利用不等式的概念可以实现快速解题。你发现了么

由二次多项式拓展出的结论真的很丰富。掌握了二项式定理,从此再也不怕二项式展开了。

不仅如此,结合杨辉三角,这个定理的结论记得更牢。这里我再附上一个杨辉三角(Pascal triangle)。刚刚接触二项式定理的同学们,有没有发现这个三角形中隐藏的奥秘呢?

合分比定理(Partition Ratio Theorem)
这个定理的形式有很多种,这里我给出了主要的几个等式以及一个不等式的推论。
无论是在代数,还是几何问题中,根据已知比例求比例的问题,都可以尝试用合分比定理作为解题的核心思路。


(加小助手免费领取备考资料)

微信:X-NEW0601
AMC10数学竞赛备考规划
基础阶段(约6个月)
构建知识框架:确保掌握所有必要的数学概念,特别是代数、几何、数论、组合数学等基础知识点。对于初次接触AMC10或基础较为薄弱的学生,需要重点补充之前未接触过的知识点。
系统学习:使用教材、在线资源或参加培训课程来全面覆盖AMC10所需的基础数学知识。
练习基础题目:通过做简单的练习题加深对新学知识的理解,同时开始积累解题经验。
定期复习与测试:每周或每月安排一次小测验,检查自己对所学内容的掌握程度,及时发现并解决不懂的地方。
强化阶段
专项训练:根据AMC10历年真题分模块进行针对性练习,如代数、几何、数论、组合等,逐步攻克每个领域的难点。
错题分析:收集并分析做错的题目,找出错误原因,总结解题思路,避免再次犯同样的错误。
模拟考试:每隔一段时间进行一次完整的模拟测试,模仿真实考场环境,评估自己的进步情况。
提升答题效率:加快解题速度,提高准确性,在规定时间内完成尽可能多的正确答案。
冲刺阶段
刷历年真题:集中精力做近几年的AMC10真题,熟悉出题模式和热点话题,找到适合自己的解题策略。
查漏补缺:继续查找并弥补任何剩余的知识漏洞,确保没有任何盲区影响最终成绩
全真模拟:频繁参加模拟考试,严格按照考试时间和条件执行,适应真实的考试节奏,锻炼心理素质。


犀牛线下校区:上海、深圳,北京、苏州、南京、深圳、无锡、青岛、杭州、广州、合肥、武汉、成都、宁波、重庆、香港 均开设的有线下校区,其他城市可以参加线上网课,享受总部师资~更多班课详情请扫码添加老师咨询
