【学霸独家】AMC8数学竞赛手写笔记大公开!代数几何核心知识点全梳理(附PDF可打印版

时间:2025-06-27 18:51:47  作者:网络 来源:网络

备考AMC8数学竞赛的家长和同学们,还在为翻遍教材却找不到重点而焦虑吗?这份精心整理的AMC8手写版知识点大全,正是你们的救星!笔记严格按照竞赛大纲,分专题系统编排,将繁杂考点化繁为简。现在扫码回复「手写笔记」,不仅能获得高清无水印版笔记,还能领取AMC8分类题库,让孩子在碎片时间高效学习,轻松冲刺全球前 1%!

 

 

 

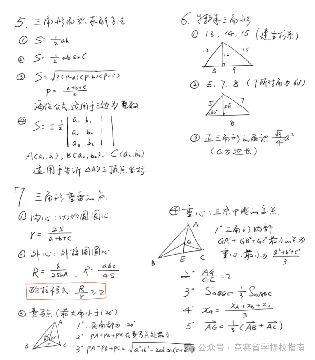
AMC8数学竞赛知识点部分展示

图片
图片
图片
图片

 

AMC8考点有以下几个核心领域:

代数与计算:涉及整数、分数、小数、百分数的复合运算,多步骤计算,以及数值大小比较。还包括因数与倍数的基础数论知识、比例关系的实际应用,以及一次方程、线性方程组的求解,二次方程等代数核心问题。

 

几何:重点聚焦于平面多边形和圆形的周长与面积计算,勾股定理的灵活运用。在空间几何范畴,着重考查学生对三维空间的观察与想象能力,要求能够从不同视角理解和分析立体图形的结构特征。

 

数论:考查多个核心概念,如质数与合数的性质判别、整除规则的实际运用,以及因数倍数关系的深入分析。余数定理、特殊数(如完全平方数、斐波那契数)的特性,还有位值原理在多位数问题中的应用。

 

组合:检验基础计数原理与策略的应用能力,核心考点包括枚举法、加法原理、乘法原理等基本计数方法,以及排列组合公式的灵活运用。

 

 

 

AMC8课程辅导

课程设置:

✦ 课程类型:3-8人小班/1v1

✦ 授课语言:中英双语/纯英授课

✦ 授课形式:线上/线下

图片

师资介绍:

图片
图片
图片
图片

成果:

图片

校区:

犀牛线下校区:上海(浦东、徐汇、黄浦)、北京(海淀、国贸、顺义)、广州、深圳(南山、福田)、苏州、杭州、成都、重庆、南京、青岛、无锡、武汉、合肥、宁波、天津、常州、厦门、香港、新加坡等均开设线下校区。其他城市可以参加线上网课,享受总部师资~更多班课详情请扫码添加老师咨询

图片

关键字:AMC8,AMC8笔记,AMC8数学竞赛知识点,AMC数学竞赛课程,AMC8教材,AMC8辅导,AMC8数学竞赛辅导,AMC真题

推荐资讯
犀牛国际 版权所有 沪ICP备2021004381号-1

微信号复制成功

X-NEW0088

点击进入微信,添加微信号

若无法打开请手动打开微信添加