【AMC10数学竞赛核心公式】2025年AMC10数学竞赛开考前一定要把这些内容吃透!

时间:2025-09-24 11:22:31  作者:网络 来源:网络
2025年AMC10数学竞赛即将开考,各位同学们都准备的如何了呢?今天Mia帮大家整理了AMC10数学竞赛核心公式,刷到的同学们开考前一定要把这套AMC10数学竞赛核心公式内容吃透!!
 
 
AMC10数学竞赛核心公式
 

一,代数板块公式、定理、方法汇总:

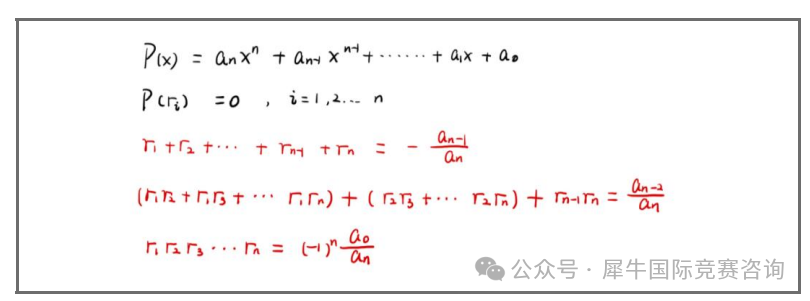
1. 韦达定理 (Vieta's Formula)

图片

例:

图片

 

解析:

图片

 

 

2. 算数平均-几何平均不等式 (Arithmetic Mean-Geometric Mean

Inequality)

图片
 
例:
图片
 

解析:

图片
图片

 

3. 二项式定理 (Binomial Theorem)

图片
例:
图片
解析:
图片
 

4. 合分比定理 (Partition Ratio Theorem)

图片
例:
图片
 

5. 余数定理(Polynomial Remainder Theorem)

图片
例:
图片
 

二,数论板块公式、定理、方法汇总:

1 孙子定理

2 费马小定理

3 威尔逊定理

4 欧几里德算法

5 立方和公式

 

三,几何板块公式、定理、方法汇总:

Similar Triangle | 已知平行,用相似算线段比例

Angle Bisector | 角平分线定理

Inscribed Circle | 已知三边长算内接圆半径

Application of Tan | 记住正切函数值快速解决比例问题

Area Formula of Sine | 含有 Sine 的面积公式

Volume of Frustum | 台体体积公式

 

四:计数板块公式、定理、方法汇总:

1.互补计数(Complementary Counting)

2.容斥原理(Principle of Inclusion-Exclusion)

3 可分辨性与“隔板法” (Distinguishability)

4 鸽巢原理 (Pigeonhole Principle)

图片
图片
图片
 
 
犀牛AMC10数学竞赛培训
 

图片

 

 

 

 

图片
 

👉犀牛目前在在全国16个城市有超过20+校区,在上海、北京、南京、苏州、无锡、杭州、广州、深圳、青岛、合肥、武汉、成都、宁波、重庆、香港、大连等地均设有校区。可根据学员所在城市就近安排,其他城市可以参加线上网课,享受总部师资~

图片

关键字:AMC10数学竞赛,AMC10竞赛,AMC10培训班,AMC10真题,

推荐资讯
犀牛国际 版权所有 沪ICP备2021004381号-1