【限时领】2024年AMC10数学竞赛B卷真题及答案解析高清PDF版速领,我看谁还没领到!

时间:2025-09-25 09:30:33  作者:网络 来源:网络
2024年AMC10数学竞赛真题及答案解析pdf版已经帮大家整理好啦~快来一起看看2024年AMC10数学竞赛真题都考查了哪些内容吧!!
 
 
2024年AMC10数学竞赛真题及答案解析
 
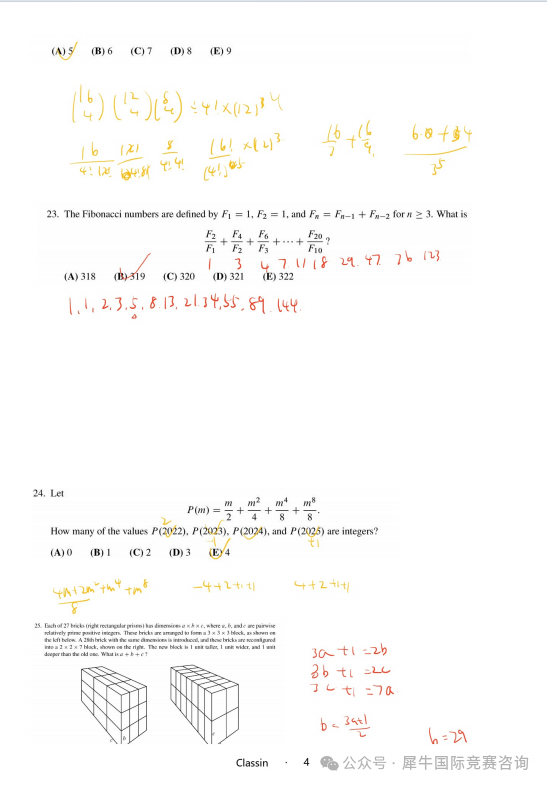
图片
图片
图片
图片
图片
 
 
 
 

AMC10竞赛四大板块公式

image.png
image.png
image.png

 

AMC10/12考前必刷题

image.png
image.png
图片
 
 
犀牛AMC10数学竞赛培训
 

图片

 

 

 
图片
 

👉犀牛目前在在全国16个城市有超过20+校区,在上海、北京、南京、苏州、无锡、杭州、广州、深圳、青岛、合肥、武汉、成都、宁波、重庆、香港、大连等地均设有校区。可根据学员所在城市就近安排,其他城市可以参加线上网课,享受总部师资~

图片

关键字:AMC10数学竞赛,AMC10竞赛,AMC10培训班,AMC10真题,

推荐资讯
犀牛国际 版权所有 沪ICP备2021004381号-1