首页
校区地址
国际学科
资讯板块
ALEVEL资讯
IGCSE资讯
IBDP资讯
AP资讯
更多资讯
校区地址
国际竞赛
资讯板块
AMC
AIME
HMMT
物理碗
BPhO
UKCHO
USNCO
BRAIN BEE
BBO
更多资讯
校区地址
G5笔/面试
资讯板块
STEP
TSA
ECAA
MAT
PAT
更多资讯
校区地址
语培学术
资讯板块
雅思
小托福
SAT
ACT
GRE
GMAT
LSAT
更多资讯
校区地址
国际学校择校
资讯板块
资讯信息
校区地址
留学规划
资讯板块
英国留学
美国留学
校区地址
网站首页
国际竞赛
AMC
AIME
HMMT
物理碗
BPhO
UKCHO
USNCO
BRAIN BEE
BBO
更多资讯
国际学科
ALEVEL资讯
IGCSE资讯
IBDP资讯
AP资讯
更多资讯
牛剑G5笔面试
STEP
TSA
ECAA
MAT
PAT
更多资讯
语培学术
雅思
小托福
SAT
ACT
GRE
GMAT
LSAT
更多资讯
留学
留学英国
留学美国
关于我们
犀牛国际教育
——犀牛教育“5周年”课程大促——
国际学科
国际竞赛
G5笔/面试
语培学术
国际学校择校
留学规划
首页
>
资讯版块
>
国际竞赛
>
AMC
> AMC12 首考党收藏!2020-2025 竞赛真题分类整理,备考少走弯路!
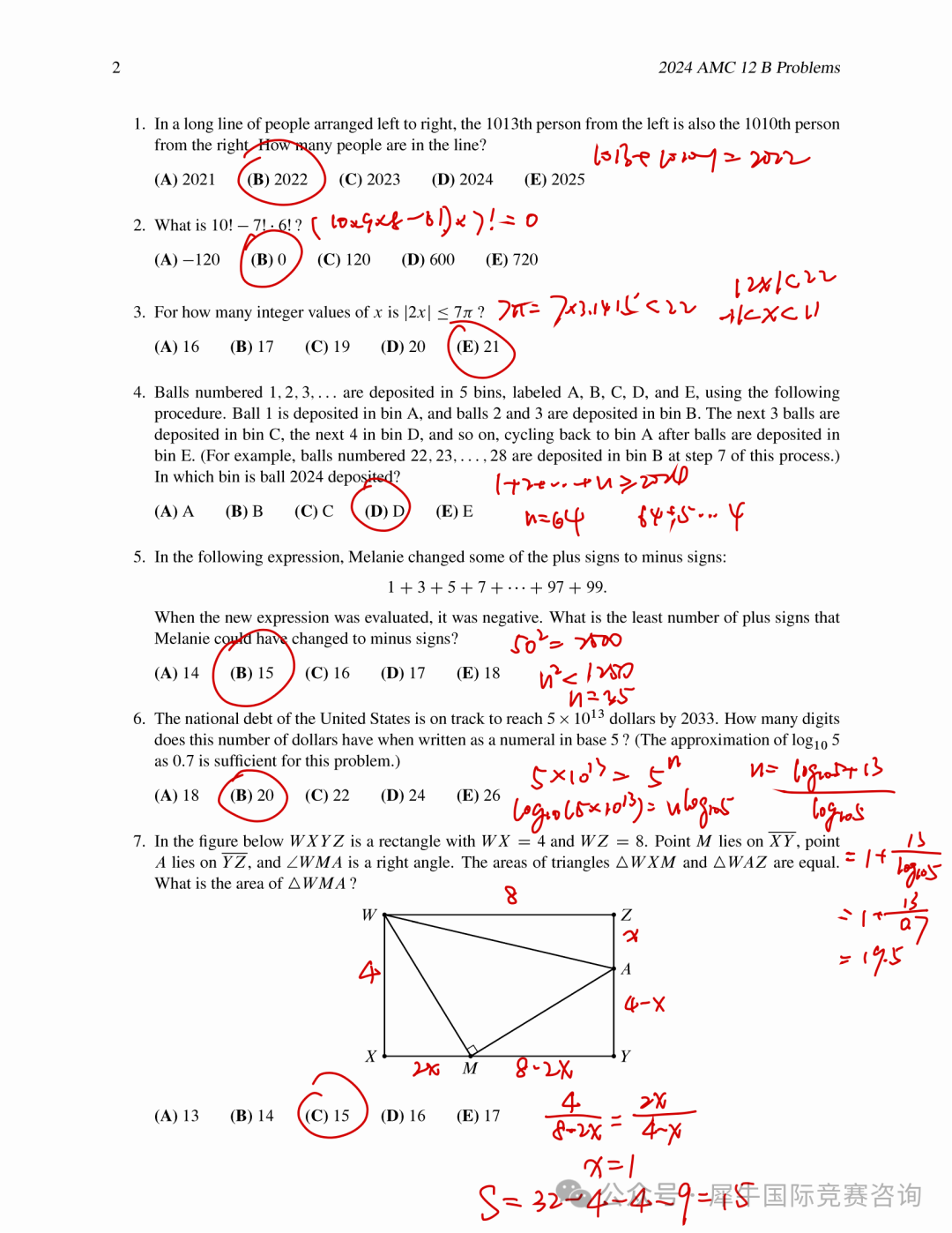
AMC12 首考党收藏!2020-2025 竞赛真题分类整理,备考少走弯路!
时间:2025-09-25 16:43:18 作者:
网络
来源:
网络
第一次备战
AMC12
的同学,是不是总在 “踩坑”?要么跟风刷超纲难题浪费时间,要么没摸清命题规律盲目刷题,要么错过高频考点却在冷门内容上死磕 —— 这些弯路不仅拖慢备考节奏,还容易打击信心!别再试错了!这份
2020-2025 年
AMC12
竞赛真题分类整理
,专为首考党设计,帮你避开 90% 的备考误区,少走弯路,直奔 AIME 晋级目标!
一、首考党常走的 3 条弯路,分类真题帮你直接避开
AMC12
备考有很多 “看似正确却低效” 的陷阱,首考党尤其容易中招,而分类真题能从源头帮你规避:
弯路 1:从 “25 题套卷” 开始刷,基础不牢还打击信心
很多首考党一上来就刷完整套真题,结果前 10 题基础题能做对,11-15 题中等题卡壳,21-25 题难题完全没思路,不仅浪费时间,还容易觉得 “自己不适合 AMC12”。分类真题按 “基础题(1-10 题)、中等题(11-20 题)、进阶题(21-25 题)” 分层,首考党可从基础题入手,先练熟多项式、圆的性质等简单知识点,积累信心后再进阶,避免 “一口吃成胖子”。
弯路 2:忽视 “模块占比”,在低分值内容上死磕
首考党常不清楚 AMC12 的模块权重:代数占 30%-35%(最高)、几何 25%-30%、组合 20%-25%、数论 15%-20%(最低)。有些同学却花大量时间研究数论难题(如二次剩余、不定方程进阶解法),反而忽略了占比最高的代数基础题(如函数图像、数列求和)。分类真题按模块标注题量和占比,帮你优先攻克 “高占比、易得分” 的模块,比如先刷完 2020-2025 年所有代数基础题,再针对性补几何,避免 “捡芝麻丢西瓜”。
弯路 3:刷完题不总结 “命题规律”,下次遇到还是错
很多首考党刷题只看 “对不对答案”,不分析 “这道题考什么考点、用什么技巧、下次遇到类似题怎么解”。比如 2020-2025 年 AMC12 的几何题中,“相似三角形 + 勾股定理” 组合出现了 18 次,“立体几何体积计算” 出现 12 次 —— 这些规律靠刷套卷很难发现,但分类真题会标注每道题的 “考点频次” 和 “解题技巧”,帮你总结出 “看到‘圆内接四边形’就想‘对角互补’”“遇到‘递推数列’先找周期” 等应试思路,避免重复犯错。
二、分类真题怎么用,才能 “少走弯路”?3 个首考专属用法
这份分类真题不仅帮你避坑,还能帮你搭建高效备考框架,尤其适合首考党:
用法 1:用 “模块刷题” 搭建知识体系,避免知识点混乱
首考党最容易 “学了后面忘前面”,比如学完数论忘了代数公式。分类真题将同一模块的题集中整理(如 “代数 - 多项式”“几何 - 三角形”),你可以用 1-2 周专注刷一个模块,比如第一周刷代数基础题,通过 2020-2025 年的 50 + 道题,熟练掌握 “多项式因式分解”“韦达定理应用” 等核心技巧,形成 “模块专属知识网”,再学下一个模块时,知识点不会混乱。
用法 2:用 “错题归类” 定位薄弱点,避免盲目补弱
首考党常不知道 “自己哪里弱”,刷完题只知道 “这道题错了”,却不清楚 “是知识点不会,还是计算失误”。分类真题附带 “错题分类表”,你可以按 “知识点漏洞(如‘立体几何公式记混’)、解题技巧不足(如‘不会用插板法解组合题’)、计算失误(如‘符号搞错’)” 三类记录错题,比如刷完 2024 年 A 卷几何题后,发现 5 道错题中有 3 道是 “三角形面积公式用错”,就能针对性复习三角形面积的 3 种计算方法,避免 “盲目刷题补弱”。
用法 3:用 “高频考点题” 冲刺提分,避免押错重点
首考党备考时间有限,很难覆盖所有知识点。分类真题标注了 “近 5 年高频考点题”,比如代数中的 “函数图像平移”(出现 12 次)、几何中的 “圆的切线性质”(出现 10 次),你可以在考前 2 周,集中刷这些高频题,优先掌握 “考得多、易得分” 的内容,比如 2025 年 AMC12 大概率还会考 “函数图像分析”,刷熟近 5 年的 12 道题,考试时遇到类似题就能快速解题,避免 “押错重点浪费时间”。
三、首考党专属 “2 个月备考计划”,用分类真题少走弯路
结合分类真题的特点,为你制定 2 个月备考计划,每天只需 1.5 小时,高效又省心:
第 1-4 周:模块基础攻坚(每天 1.5 小时)
每周专注 1 个模块(代数→几何→组合→数论),每天刷 15 道该模块的基础题(1-10 题),比如周一到周五刷代数基础题,周六总结错题,周日复习该模块公式。重点是 “熟练掌握基础技巧”,比如代数中的 “代入法解方程组”、几何中的 “三角形内角和定理”,确保基础题正确率达 90% 以上。
第 5-6 周:模块中等题突破(每天 1.5 小时)
每天刷 2 个模块的中等题(各 5 题,11-15 题),比如周一刷代数 + 几何中等题,周二刷组合 + 数论中等题。重点是 “学习解题技巧”,比如组合中的 “容斥原理”、数论中的 “模运算性质”,每道题花 3 分钟分析 “题干关键词→对应技巧”,比如看到 “‘至少有一个’的概率” 就用 “1 - 对立事件概率”。
第 7-8 周:高频考点冲刺 + 模拟演练(每天 1.5 小时)
前 5 天:刷分类真题中的 “高频考点题”(每个模块 20 题),比如代数的 “函数图像”、几何的 “圆的性质”,重点练 “快速解题”,比如代数题控制在 2 分钟 / 题,几何题 2.5 分钟 / 题。
后 5 天:用分类真题中的 “模拟套卷”(按考试难度组合 1-20 题),严格计时 60 分钟,模拟考试节奏,适应 “基础题快速答,中等题稳着答” 的策略,避免考试时时间不够。
四、怎么领取这份 “首考党避坑神器”?1 步到手,附额外福利
这份分类真题还附带 “首考避坑指南” 和 “模块公式速记表”,帮你一站式备齐资料:
扫描下方二维码,关注【XX AMC 竞赛备考】公众号;
在对话框发送关键词「AMC12 首考避坑」,立即获取 2020-2025 真题分类整理(PDF 版,可打印);
额外附赠:《AMC12 首考常见 10 大误区》+《四大模块核心公式表》,帮你提前规避陷阱,快速记忆考点。
首考 AMC12,走对路比多刷题更重要!这份分类真题帮你避开弯路、精准提分,赶紧收藏领取,2025 年顺利晋级 AIME!
关键字:amc12,AMC12,amc12考试,amc12真题,AMC12资料
上一篇:
首考 AMC12 必看!2020-2025 真题分类汇总,按题型刷更高效!
下一篇:
首考 AMC12 别瞎刷!2020-2025 真题分类汇总,按模块突破更省心!
推荐资讯
国际学科
MYP
IBDP
IGCSE
A-level
AP
国际竞赛
AMC
AIME
袋鼠竞赛
物理碗
BPHO物理竞赛
SIN/PUPC
BBO生物竞赛
USABO竞赛
Brain Bee
CCC/CCO
UKCHO化学
USNCO化学
USACO竞赛
经济商赛
写作竞赛
语言培训
自然拼读
RAZ绘本
《Power Up》
《Think》
KET培训
PET培训
小托福培训
托福培训
雅思培训
SAT/ACT
友情链接:
上海ap课程培训机构
IB课程培训班
AMC数学竞赛培训课程
AMC8数学竞赛培训
AMC10数学竞赛培训
犀牛国际教育校区地址
犀牛国际
版权所有 沪ICP备2021004381号-1
在线咨询