【考前必看】AMC8数学竞赛历年真题解析!高频考点+易错点全攻略,助力冲1%

时间:2025-11-05 17:33:31  作者:网络 来源:网络

距离2026年AMC8数学竞赛仅剩两个多月的时间了,你是否已经掌握了历年真题的精髓所在?今天Mia老师整理了AMC8数学竞赛历年真题解析完整版分享给大家,还分析了AMC8数学竞赛高频考点以及易错点,为你的备考之路扫清障碍,助你冲刺前1%!同学们赶快收藏起来吧!

 

 
AMC8数学竞赛历年真题解析
 

 

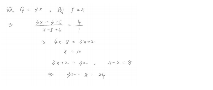
⭐2024年AMC8数学竞赛:第1-5题

 

图片
图片
图片

 

图片

 

⭐2024年AMC8数学竞赛:第6-10 题

 

图片
图片

图片图片图片

 

⭐2024年AMC8数学竞赛:第11-15题

 

图片图片

图片
图片
图片
图片

 

⭐2024年AMC8数学竞赛:第16-20 题

 

图片

图片图片

图片
图片
图片
图片
图片

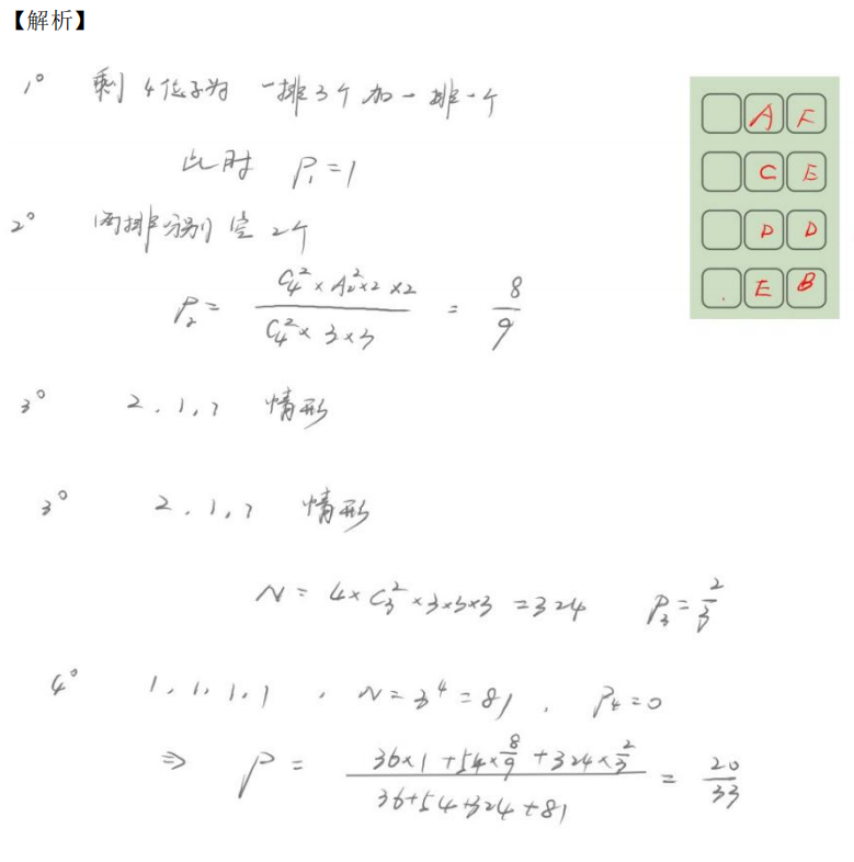
⭐2024年AMC8数学竞赛:第21-25 题

 

图片
图片

图片图片

图片
图片
图片

图片图片

 

 
AMC8数学竞赛高频考点
 

 

图片图片

01

 

代数高频考点

 

代数的题目数量约为10题

 

◆ 分数、方程、数列等的基本运算和性质,以及代数技巧

02

 

几何高频考点

 

几何的题目数量约为6~8题

 

◆ 三角形、四边形和圆的性质

 

◆ 勾股定理的应用

 

◆ 平面和立体几何图形的面积和体积计算

03

 

数论高频考点

 

近年来它的考试比重逐渐增加,大约占3~4道题目

 

◆ 质数与合数

 

◆ 整除与约数

 

◆ 同余问题和整数与数位的性质

04

 

组合题高频考点

 

组合的题目数量约为3~5题

 

◆ 排列与组合

 

◆ 概率的基本概念及计算方法

 

◆ 逻辑推理和计数原理

图片

 

 
AMC8数学竞赛易错点
 

 

图片
 
AMC8数学竞赛考前冲刺课程
 
图片

图片

AMC8冲刺班适合学生:2026年参加AMC8考试的同学,目前冲刺前1%或前5%

✅课程类型:小班授课/一对一授课模式
✅授课模式:在线面授均可
✅授课语言:中英双语教学/纯英文授课
图片

线上课程:采用Classin软件授课,3-8人小班教学,直播形式保证学生和老师可以在线实时互动,保证课堂活跃度。

图片
 

👉犀牛目前在在全国16个城市有超过20+校区,在上海、北京、南京、苏州、无锡、杭州、广州、深圳、青岛、合肥、武汉、成都、宁波、重庆、常州、中国香港、新加坡等地均设有校区。可根据学员所在城市就近安排,其他城市可以参加线上网课,享受总部师资~

图片

关键字:AMC8数学竞赛,AMC8竞赛,AMC8培训班,AMC8真题,

推荐资讯
犀牛国际 版权所有 沪ICP备2021004381号-1

微信号复制成功

X-NEW0088

点击进入微信,添加微信号

若无法打开请手动打开微信添加