最适合IGCSE新生参加的数学竞赛出现了!UKMT:我熟!

时间:2023-12-04 17:21:21  作者:网络 来源:网络

关注国际数学竞赛的学生一定都听过AMC。除此之外,知名度&含金量双高的数学竞赛还有英国UKMT系列

UKMT (United Kingdom Mathematics Trust,英国大不列颠数学协会)英国最大规模的数学竞赛, 为全英国及其它国家11到18岁的学生提供数学学术活动。

如果意向申请英本院校,或想转学到英国读初/高中,提前锻炼数学思维, 获得数学竞赛解题技巧,UKMT是一个非常不错的选择。

IGCSE新生阶段以及即将升读IGCSE课程的同学,可以尝试参加UKMT - IMC !!

01

IMC基础介绍

 

Intermediate Mathematical Challenge (IMC) 中级数学竞赛是UKMT系列中的一个数学竞赛,它鼓励参赛学生进行数学推理,展现思维的准确性,并流利地使用基本数学技巧来解决有趣的问题。

适合学生群体

IMC主要面向英格兰和威尔士Year 11或以下的学生、北爱尔兰Year 12或以下的学生和苏格兰S4或以下的学生参加,国内对应为十年级及以下学生

竞赛时间安排:

2024报名截止日期为2024年1月21日

2024年比赛时间为1月31日,中国赛区比赛时间为2月1日(星期四)17:00-18:00(这是假期期间,要提前确保自己可以返校参加)

竞赛时长:

60分钟

竞赛试题设置:

25道选择题共135分,前15题每题5分,16-25题每题6分。16-20题每答错一题扣1分,21-25题每答错一题扣2分,不答不扣分

题目旨在鼓励学生积极思考。比起猜测题目答案,仔细揣摩题目会带来更多的分数与满足感。

竞赛奖项设置:

英国Top 50%的学生按照3:2:1的比例获得铜、银、金证书。中国学生将根据英国学生奖项分数线划定奖项。

图片

02

IMC试题难度分析

 

从题目内容来看,IMC主要包括数论、代数、几何、文字逻辑和创新思维五类题目。

值得注意的是,数论中例如素数的研究,中国剩余定理及丢番图方程等内容都不会在英国初高中数学大纲中出现,需要同学们自行寻找资料,解决相关问题

代数题目一般以多项式或多元高次不定方程的形式出现,同时可能会考到关于图论以及线性空间的内容。

下面这道2023年真题难度可供大家进行一定参考

 

图片

 

答案解析:

 

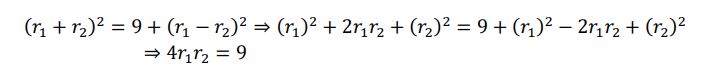
首先设两个小圆的半径为r1和r2,如下图所示↓:

 

图片

 

那么大圆半径就是r1+r2PQ=6,那么PR=3OP= r1+r2OR= r1+r2-2r2=r1-r2,三角形ORP是个直角三角形,所以OP2=PR2+OR2

 

图片

图片

为竞赛试题,IMC也非常看重学生的数学思维能力包括观察能力(一些题目有陷阱需要仔细阅读)、计算能力、逻辑推理能力、空间想象能力、抽象思维及思维判断能力等多方面,如果学生日常数学应用思维有欠缺,在面对IMC时会感觉难度非常大。

小编为大家收集整理了过去十年IMC不同奖项的获奖分数线:

从2020年开始,IMC金银铜获奖分数线逐渐下降,侧面证明了近几年试题难度,提醒同学们做更多备赛准备。

图片

数据来源UKMT官方

犀牛教育UKMT系列竞赛课程

 

犀牛教育专注数学、物理、化学、生物各领域全学科国际竞赛,犀牛导师们都会根据孩子们的理解力,学习进度进行教学调整,真正做到“因材施教””因势利导“从而真正地帮助他们去提升自己的能力,培养学科思维,进而提升分数。

 

JMC
 
 
 

犀牛教育数学竞赛课程亮点

 
 

 

简单来说归结为以下几个要点:

1、导师学历背景好、经验足、方法好

2、教研不断迭代优化、教学内容经过严格把关

3、课程设置形成学员预习、学习、复习、模考的备考闭环

4、精细定制、认真落实、时刻关注,让每位学员收获【好成绩】

5、教学上有针对性地布置任务,禁止无效以量代质。

请添加小助手老师咨询~

图片

微信号:xnew333

 

 

关键字:SMC竞赛, UKMT-BMO,BMO,IMC,

推荐资讯
犀牛国际 版权所有 沪ICP备2021004381号-1