最适合IGCSE新生参加的数学竞赛出现了!UKMT:我熟!

时间:2023-12-05 10:27:39  作者:犀牛国际 来源:犀牛国际

英国UKMT数学竞赛系列除此之外,知名度&含金量双高的数学竞赛还有AMC关注国际数学竞赛的学生一定都听过

UKMT (United Kingdom Mathematics Trust,英国大不列颠数学协会), 为全英国及其它国家11到18岁的学生提供数学学术活动。英国最大规模的数学竞赛

,UKMT是一个非常不错的选择。提前锻炼数学思维, 获得数学竞赛解题技巧如果意向申请英本院校,或想转学到英国读初/高中,

!!可以尝试参加UKMT数学竞赛IGCSE新生阶段以及即将升读IGCSE课程的同学,

为大家准备了【UKMT备赛资料包】,内含JMC、IMC、SMC和BMO不同赛级历年真题及答案解析,有需要的同学扫码领取!

UKMT备赛资料包

图片
 

资料一览

 
 

 

内含1

历年真题及答案解析

 

 

  • 内含JMC、IMC、SMC和BMO不同赛级历年真题及答案解析

 

UKMT数学竞赛

UKMT数学竞赛

(仅展示部分)

 

扫码添加主页君微信
回复暗号UKMT数学竞赛资料包
立即获取福利领取方式!

福利面向人群:所有学生

01

IMC基础介绍

 

Intermediate Mathematical Challenge (IMC) 中级数学竞赛是UKMT数学竞赛系列中的一个数学竞赛,它鼓励参赛学生进行数学推理,展现思维的准确性,并流利地使用基本数学技巧来解决有趣的问题。

适合学生群体

国内对应为十年级及以下学生的学生、北爱尔兰Year 12或以下的学生和苏格兰S4或以下的学生参加,英格兰和威尔士Year 11或以下IMC主要面向

竞赛时间安排:

2024年1月21日2024报名截止日期为

(这是假期期间,要提前确保自己可以返校参加)2月1日(星期四)17:00-18:00,中国赛区比赛时间为1月31日2024年比赛时间为

竞赛时长:

60分钟

竞赛试题设置:

25道选择题共135分,前15题每题5分,16-25题每题6分。16-20题每答错一题扣1分,21-25题每答错一题扣2分,不答不扣分

题目旨在鼓励学生积极思考。比起猜测题目答案,仔细揣摩题目会带来更多的分数与满足感。

竞赛奖项设置:

的比例获得铜、银、金证书。中国学生将根据英国学生奖项分数线划定奖项。3:2:1英国Top 50%的学生按照

UKMT数学竞赛

02

IMC试题难度分析

 

从题目内容来看,UKMT数学竞赛-IMC主要包括数论、代数、几何、文字逻辑和创新思维五类题目。

自行寻找资料,解决相关问题值得注意的是,数论中例如素数的研究,中国剩余定理及丢番图方程等内容都不会在英国初高中数学大纲中出现,需要同学们

,同时可能会考到关于图论以及线性空间的内容。以多项式或多元高次不定方程的形式出现代数题目一般

下面这道2023年真题难度可供大家进行一定参考

 

UKMT数学竞赛

 

答案解析:

 

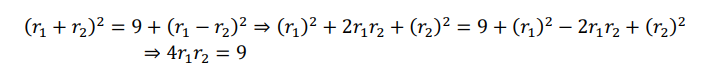
首先设两个小圆的半径为r1和r2,如下图所示↓:

 

UKMT数学竞赛

 

那么大圆半径就是r1+r2PQ=6,那么PR=3OP= r1+r2OR= r1+r2-2r2=r1-r2,三角形ORP是个直角三角形,所以OP2=PR2+OR2

 

UKMT数学竞赛

UKMT数学竞赛

作为UKMT数学竞赛竞赛试题,IMC也非常看重学生的数学思维能力包括观察能力(一些题目有陷阱需要仔细阅读)、计算能力、逻辑推理能力、空间想象能力、抽象思维及思维判断能力等多方面,如果学生日常数学应用思维有欠缺,在面对IMC时会感觉难度非常大。

小编为大家收集整理了过去十年IMC不同奖项的获奖分数线:

从2020年开始,IMC金银铜获奖分数线逐渐下降,侧面证明了近几年试题难度,提醒同学们做更多备赛准备。

UKMT数学竞赛

数据来源UKMT官方

03

IMC获奖学生备赛经验分享

 

小编为大家收集整理了历年在UKMT数学竞赛IMC中成功拿下奖项学生的备赛经验,供大家进行一定参考:

,如逆向思维、归纳法、数学推理等。了解各种数学方法和策略,并学会灵活运用它们来解决问题。”熟练掌握解题技巧。当然想拿高分还是需要做好充分准备,戒骄戒粗心,比如用于过渡高阶的数学国际竞赛非常友好IMC试题

,尤其是还打算继续参加各类数学国际竞赛的情况下,同学们更要保持学习状态。定期复习和练习数学知识,解决各种类型的数学问题,以提高数学思维和解题能力。”数学是一个需要持续学习和练习的学科

,潜意识养成的阅读速度能一定程度上缓解真实考试时焦虑和紧张造成的耗时;日常训练过程中可适当提高阅读速度“和其他多种国际竞赛备赛方式一样,

历年真题很关键,前期用于熟悉竞赛试题风格,后期进行模考。若想进一步增加练习量,可以使用同类型或同难度风格的竞赛试题,扩充知识体系,提高知识运用能力。”

距离IMC还有两个月的时间,备赛冲刺期已经到来,正是拉开你与同级竞争者学术优势的好时机!

如何科学高效备赛,一次性解决赛事难题,解锁金奖

扫码添加小助手微信:xnew9999

关键字:UKMT数学竞赛,UKMT竞赛,UKMT培训班,UKMT真题,

推荐资讯
犀牛国际 版权所有 沪ICP备2021004381号-1