欧几里得数学竞赛考前需要注意哪些?这4点一定要留意~

时间:2025-10-16 10:33:45  作者:网络 来源:网络
欧几里得竞赛考前注意事项
1、考试时间需记清楚
 
 

欧几里得全球统一考试,考试时间:

  • 北美及南美赛地区:4月2日

  • 中国区考试:4月3日,具体为上午10:00-12:30(北京时间)。

2、考前准备
 
 

欧几里得考试为线下答题形式,因此考前需要准备:

①线下考场情况,建议提前一天踩点

②提前准备身份证或护照,无准考证,切记!

③提前准备并考试携带:黑色签字笔、2B或HB铅笔、圆规、三角板、计算器(注意:只能是基础功能的,否则无法带进考场)等数学考试用具。

3、考试要求
 
 

①答案填写规范

所有答案必须写在官方提供的答题册(Answer Booklet)中,手写作答。

📌按位置填写:将每道题的答案写在答题册指定的方框(Box)内,与题号对应。若答案位置错误,可能无法得分。

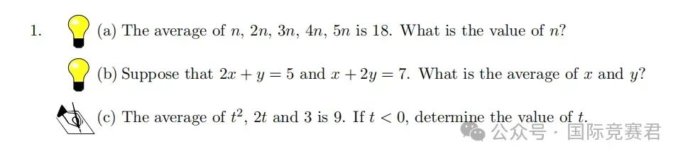
②两类题型交叉,根据要求解答

欧几里得

▶*标有黄色灯泡的为short answer,即写出答案即可。

*标有纸和手握笔的为full solution,即需要写出详细的答题过程。

🔴需要清楚考试要求,按照要求解答,full solution试题,如无解析过程,即使给出正确答案也会扣分。

4、考前冲分小技巧
 
 

①时间合理分配

考试时间2.5小时,相对较长,因此建议大家合理安排时间,遇到不会的先跳过,最后一起再检查。

②答题要规范

相比AMC数学竞赛,欧几里得主要是填空和解答题,部分试题需要清晰的解答过程,尤其是9-10题 。即使答案错误,中间推导正确仍能拿分。

③计算器要巧用

有些计算能用手算的,建议手算,使用计算器会拖慢节奏,像因式分解、方程求根等手算会更快。像概率题和三角函数求值,可以使用计算器来验正答案。

欧几里得竞赛考点汇总
 

 

欧几里得
image.png
image.png

关键字:欧几里得数学竞赛,欧几里得竞赛辅导,欧几里得竞赛课程,欧几里得竞赛培训,欧几里得数学竞赛,欧几里得竞赛辅导,欧几里得竞赛课程,欧几里得,

推荐资讯
犀牛国际 版权所有 沪ICP备2021004381号-1

微信号复制成功

X-NEW0088

点击进入微信,添加微信号

若无法打开请手动打开微信添加