AP微积分BC考试题型及例题详细解析!附备考建议和历年真题资料!

时间:2024-01-17 09:34:00  作者:网络 来源:网络

AP微积分BC的的考试重难点有哪些?这篇文章详细介绍了AP微积分BC的考试重难点以及考试题型分析并在文末总计整理了一些AP微积分的备考建议,相信看了这篇文章,一定会对大家有所帮助!

AP微积分
图片
图片
AP微积分

AP微积分AB/BC真题领取

图片

AP微积分备考资料领取
添加小助手微信!

图片

01

 

 

AP微积分BC考试重难点

X-NEW

⭐AP微积分BC各单元重难点:
■第一单元Limit and Continuty
出题范围:4道选择,1-2道大题的小问
核心考点:极限计算、 连续性定义考察、渐近线、 EVT(极值定理)和IVT(介值定理)

 

■第二、三单元Differentiation

出题范围:8道选择,1-2道大题的小问题

核心考点:各种不同类型的求导计算

■第四单元Contextual applications of Differentiation出题范围:4道选择,1-2道大题的小问核心考点:切线与线性估值、运动问题、 Related rates、洛必达 L‘Hospital

■第五单元Analytical applications of Differentiation

出题范围:4道选择,1-2道大题的小问

核心考点:中值定理 MVT、Increasing,decreasingMin, Max,Inflection points、 Concavity、Optimization

■第六单元Integration and Accumulation of Change

出题范围:10道选择,1-2道大题,6个小问题

核心考点:各种不定积分计算 substitution, by parts, by partial fraction、定积分、微积分基本定理 FTC、Riemann Sum、Improper integrals

■第七单元Differential Equations

出题范围:4道选择,1-2个小问题

核心考点:Slope field、Sparation of Variables、ModellingEuler's method、Exponential, Restricted,logistic models


■第八、九单元Integration applications and Parametric Equations

出题范围:8道选择,一整道半的大题5-6个小问

核心考点:参数函数,向量函数求导和积分 如:运动问题、极坐标,极坐标函数围成的面积、Arc length、旋转体积

■第十单元Infinite Sequences and Series

出题范围:8道选择,一道大题,4个小问

核心考点:数列和级数收敛发散判别、幂级数的收敛区间和收敛半径、泰勒级数(展开)与估值

 

02

 

 

AP微积分BC考试题型及例题详细解析

X-NEW

题型1:

Multiple Choice Questions

without Calculator 无计算器选择题(IA)

【真题示例1】

 

AP微积分

解析:This question is based on calculation of derivatives in the form of abstract functions.It is crucial to select proper differentiation rules to use.

图片

 

【真题示例2】

图片

解析:This question connects the idea of variable-limit integral and monotonicity from differentiation. Also, this question is given in the form of a graph, which also tests if one can understand the graph properly. Since we can differentiate variable-limit integral, we can hence study its monotonicity, extrema, as well as concavity.

AP微积分

 

题型2:

Multiple Choice Questions

using Calculator 有计算器选择题(IB)

【真题示例1】

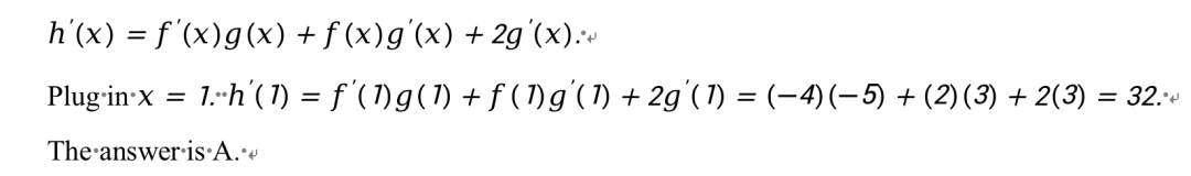
图片解析:图片

【真题示例2】

图片

解析:

AP微积分

 

03

 

 

AP微积分备考建议

X-NEW

1、了解微积分考试
AP微积分考试分为两个部分:多项选择题和开放性问题。
■多项选择题占60%的总分,主要测试学生在微积分AB课程中的基础知识;
■开放性问题则要求学生展示更深层次的理解和解决问题的能力,占40%的总分。


2、制定学习计划
■制定一个详细的学习计划,覆盖所有考试的主要内容。
■确保计划合理,将学习时间分配到各个主题,重点关注对你来说相对较陌生或难以理解的概念。
■这样可以确保你对整个微积分课程有一个全面的了解,而不是只关注某些特定的章节。


3、合理利用资源
■CollegeBoard提供了官方的AP微积分AB考试大纲,其中包含详细的考试内容和样题。还可以查阅往年的真题,以了解考试的难度和题型。
■选择合适的教材对于备考非常重要。使用权威的教材,如《Calculus: Early Transcendentals》等。确保教材完整覆盖了考试的所有主题,并包含充分的练习题。
■这些资源对于理解考试要求以及熟悉考试风格都至关重要。


4、高效刷题并制作笔记
■制作清晰、简洁的复习笔记,梳理重要概念、公式和解题方法。这有助于在考前迅速回顾所学内容。
■多做往年真题和模拟试卷,以熟悉考试的题型和时间压力。这也有助于你在真实考试中更加游刃有余地应对各种题目。
■理解概念是备考AP微积分的核心。不仅仅是记忆公式,更要深刻理解背后的概念。微积分是建立在一系列基本概念之上的学科,只有深刻理解这些概念,才能在解题时游刃有余。

 

5、早学习早规划
总的来说,备考AP微积分需要早期规划、系统性的学习和不懈的努力。通过有计划的复习和实践,你将能够更自信地迎接AP微积分考试。

 

更多AP微积分考试信息详情了解

可扫描下方二维码
获取1V1介绍

👇👇👇

 

 

 

图片

 

 

 

微信:X-NEW001

 

关键字:AP大考,AP考试,AP课程培训,AP辅导,AP课程,AP微积分,AP微积分BC,AP微积分AB,

推荐资讯
犀牛国际 版权所有 沪ICP备2021004381号-1