AP统计学按照考试大纲共可以分为四个部分,分别是:描述性统计,实验设计和抽样,概率论和推断统计。
其中推断统计在考试中占比最高,也是在statistics考试常会遇到的,但是还有很多同学还掌握不够好的内容,这部分由三部分组成,为抽样分布,区间估计和假设检验,在复习时要注意。
统计的大题由2-4个小题组成,每个小题都有三个等级的评分标准:correct, partially correct, incorrect,所以并不是只求出正确答案就能得到满分,也并不是不会做就得不到分。
在回答大题时要讲究格式:文字描述+列举公式+答案单位缺一不可

· 分类型数据(categorical)注意当两个变量相互独立时,每种变量的所占比例是不变的。
· 数值型数据(quantitative)要分清楚不同的图像,以及如何看不同的图像情况。
· 点图Dotplot,茎叶图Stemplot,直方图Histogram,条形图Bar graph,箱线图Boxplot(几乎每次都会考!)
描述图像的三个方向:center,variability ,shape
· Variability包括:极差range,四分位数差inter-quartile range,标准差standard deviation,方差variance
· Shape包括:偏态skewness,间隔gap, 异常值outlier
Range = maximum – minimum
inter-quartile range (IQR) = Q3–Q1
outliner:不在[ Q1-1.5IQR, Q3+1.5IQR ]内
标准差是用来表现一组数据相对平均值的离散程度。标准差越大,波动性也就越大。
偏态(skewness)分为:左偏分布left skewed,右偏分布right skewed,单峰分布unimodel,双峰分布bimodel,均匀分布uniform

根据正态分布表,z值可以和probability 相互转化。
双变量数值型数据是研究两个变量之间的关系,所用图像为散点图(scatter plot)。
线性关系从两个方向(strong and weak,positive and negative)来进行描述,通常使用相关系数(correlation coefficient)r来描述两者之间的关系。


判定系数(coefficient of determination)r2(R-sq)含义为:the proportion of the variation in y is explained by its linear relationship with x.
(1) around the line of 0.
(3)same variance. (PS: nothing about positive or negative)
· 抽样方法:simple random sampling,systematic sampling,stratified random sampling,cluster sampling
· 实验设计方法:completely randomized design,block design,match-pair design,paired design
区分各自的特点,同时重点在于如何设计(how to do sampling or design.)
· 实验设计三项原则:1.control or comparison. 2.randomization. 3.replication.
· 误差error:抽样误差分为抽样误差sampling error和调查偏差survey bias.
抽样误差可以通过增大样本量和改变方法减小。调查偏差只能通过改变方法来调整。
· 偏差bias主要有:Undercoverage bias, non-response bias, voluntary bias, wording bias, response bias这几种,注意区分。
随机变量(random variable) 分为离散型(discrete)随机变量和连续型(continuous)随机变量。
· 一般型:
mean(the expected value)数学期望值

variance and standard deviation 方差和标准差


· 二项分布(Binomial distribution):试验次数固定,关注于成功的次数。
· 几何分布(Geometric distribution):试验次数不固定,关注于何时第一次成功。
· 连续型随机变量:正态分布(normal distribution).
Empirical rule(68-95-99.7rule):68%/95%/99.7%的数据在均值的1/2/3个标准差的范围内。
· 独立随机变量的组合:(出现概率大)

· 中心极限定理 central limit theorem:当样本量足够大时,统计量的抽样分布可以被视作正态分布。
判定标准:
- 样本均值 sample mean:n≥30
- 样本比例 sample proportion:np≥10 and n(1-p)≥10

(1)random sample
(2)N≥10n
(3)The population is normally distributed or sample size is large.
· t分布:当总体标准差未知时,使用t分布来代替正态分布。其自由度为n-1。
定义:区间包含参数 ← Interval contains parameter( population special value)

(3)单尾情况(one tail)还是双尾情况(two tail)(PS: AP里面通常只有双尾区间)
用计算器找critical value时注意使用的是inverse(反向)方法。
注:务必注意单尾和双尾在计算器上输入数值上的不同!!!
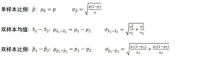
· 计算置信区间时注意方法选择:one/two sample t/z interval for mean/proportion
· 置信区间的通项公式:statistic ± critical value × standard error
不同方法所对应的公式不同,注意区分


还有两种特别形式:match pair和slope

注:Match pair 和Slope 只使用t值,Match pair情况在计算器计算时使用t interval。
· 最小样本量计算:

样本量计算时z值均视为双尾情况。计算比例时注意,如果比例没有给出,那么默认p=0.5。
先陈述要构建一个关于什么数据的置信区间,并说明置信水平。
先说明要构建置信区间的具体情况和方法,在检查是否满足抽样分布的条件。
(3)Calculate
使用公式或计算器算出置信区间的上下界
(4)Conclude
根据得出的结果进行总结性总结,包括三要素confidence level, parameter, interval.
做假设时注意原假设总是使用=,备择假设使用<,>或≠。
两种错误类型:


第一类错误(Type I Error) :发生概率为α(红色部分),原假设正确但拒绝原假设。
第二类错误(Type II Error) : 发生概率为β(蓝色部分),原假设错误但接受原假设。
统计检验力(Power of test): 发生概率为1-β,原假设错误同时拒绝原假设。
两种错误类型的关系是相反的,即一种错误发生概率增加,另一种就会下降。通过增加样本量,可以同时降低两种错误发生的概率。
注:无论是Type I error还是Type II error,本质上都是犯了判断错误。

同样还有三种特别检验方法:match pair和slope以及置信区间
置信区间判定方法:看置信区间的范围有没有涵盖原假设,若包括原假设,则不拒绝原假设。若不包括原假设,则有证据拒绝原假设。
· 假设检验的简答题答题步骤:
(1)State
根据题目提出假设,并且定义参数含义。
(2)Plan
确定使用的检验方法,并检查是否满足分布的条件。
(3)Calculate
使用公式或计算器算出统计检验量(test statistic)和p值。
(4)Conclude
比较数据情况,根据得出的结果进行总结性陈述。
分类型数据的假设检验使用卡方分布(chi-square distribution)。
卡方分布是一个右偏分布,数值型皆为正态分布即对称分布。检验时要满足的条件包含1. random sample. 2. expected count≥5
同学们在考前临时抱佛脚时可以按照这份cheat sheet来复习准备。
简答题一定要按照考试规范的套路来进行回答,务必要记住!统计考试前一定要熟练计算器的使用,熟练的使用计算器可以大大节约你的做题时间!!!